无题
An SVD-Based Watermarking Scheme for Protecting Rightful Ownership
一种基于奇异值分解(SVD)的水印方案,用于保护合法所有权
一、翻译
二、解读
不可逆水印
对于图片A,版权所有者使用向其添加水印W,生成带有水印的图片Aw。
攻击者试图生成水印图片的所有权,那么攻击者找到一个虚假的水印Wf和原始图片Af满足水印生成的方案。
算法解析
嵌入过程
首先读取图片A将其进行SVD分解,得到U,S,Vh三个矩阵。
然后将水印图片表示为一个矩阵,添加到奇异值矩阵S中,对新生成的矩阵进行分解得到Sw。
最后,将得到的Sw和第一次SVD分解得到的U和Vh得到带有水印的图片。
保存S和U_w,Vh_w三个矩阵用于提取水印。
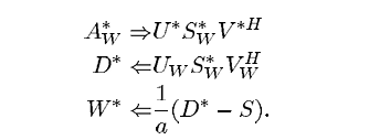
提取过程
分解带有水印的图片Aw,得到U,S_w和Vh三个矩阵。
用保存的U_w和Vh_w,和第一步得到的S_w计算得到S+aW
得到S+aW后,减去保存的S就可以得到对应的水印W了。
不可逆性证明
攻击者想要证明水印图片Aw的所有权,就需要找到新的U_w,Vh_w,,S和水印W使得它们满足嵌入和提取算法。
首先攻击者通过SVD分解水印图片Aw得到U,Sw和Vh。
攻击者得到Sw后,需要设计U_w,Vh_w以及S,W的值,使得下面等式成立。
由于攻击者知道Sw和S的差距不大,所以可以构造一个新的S,这样随机选取一些U_w和Vh_w的值就可以计算出一个水印值W
如果指定水印必须有意义的情况下,攻击者伪造的水印W固定,由于Sw与S接近所以伪造一个S可能可行,但是就难以保证SVD分解出来的对角线元素的Sw。
水印图片对角线像素异常
如果仔细观察可以看到提取的水印图片有一个普遍的特点,对角线元素模糊。
这不是偶然的情况,这是复现的结果:
当我把嵌入强度调高后,这种效果减弱了:
因此猜测是S的对角线奇异值的值很大,而水印图片的值较小,计算时出现的误差。因为我调大嵌入强度,对角线模糊的情况就被改善了
三、代码实现
import cv2
import numpy as np
import matplotlib.pyplot as plt
def svd_watermark_embed(original_img, watermark, alpha=16):
"""
SVD水印嵌入算法
:param original_img: 原始图像(灰度)
:param watermark: 水印矩阵(与图像同尺寸)
:param alpha: 水印强度系数
:return: 含水印图像,嵌入用的U_w, S_w, Vh_w
"""
# 步骤1:对原始图像进行SVD分解
U, S, Vh = np.linalg.svd(original_img, full_matrices=False)
S_diag = np.diag(S)
# 步骤2:将水印加入奇异值矩阵
watermarked_S = S_diag + alpha * watermark
# 步骤3:对修改后的矩阵进行SVD分解
U_w, S_w, Vh_w = np.linalg.svd(watermarked_S, full_matrices=False)
S_w_diag = np.diag(S_w)
# 步骤4:生成含水印图像
watermarked_img = U @ S_w_diag @ Vh
return np.clip(watermarked_img, 0, 255).astype(np.uint8), (U_w, S, Vh_w)
def svd_watermark_extract(watermarked_img, U_w, Vh_w, original_S, alpha=16):
"""
SVD水印提取算法
:param watermarked_img: 含水印图像
:param U_w: 嵌入时生成的U_w
:param Vh_w: 嵌入时生成的Vh_w
:param original_S: 原始图像的奇异值矩阵
:param alpha: 水印强度系数
:return: 提取的水印
"""
# 对含水印图像进行SVD分解
U_wm, S_wm, Vh_wm = np.linalg.svd(watermarked_img, full_matrices=False)
# 重建中间矩阵
D_w = U_w @ np.diag(S_wm) @ Vh_w
# 提取水印
extracted_watermark = (D_w - np.diag(original_S)) / alpha
return extracted_watermark
def watermark_padding(logo, target_size):
logo = (logo.astype(np.float32) - 128) / 128 # 归一化到[-1,1]范围
# 目标尺寸
target_size = min(original.shape)
# 计算需要填充的像素数
top = 0
bottom = target_size - logo.shape[0]
left = 0
right = target_size - logo.shape[1]
# 使用 cv2.copyMakeBorder 进行填充
padding_logo = cv2.copyMakeBorder(logo, top, bottom, left, right, cv2.BORDER_CONSTANT, value=0)
return padding_logo
def watermark_resize(logo):
logo = (logo.astype(np.float32) - 128) / 128 # 归一化到[-1,1]范围
# 调整尺寸匹配
resize_logo = cv2.resize(logo, (min(original.shape), min(original.shape)))
return resize_logo
# 示例使用
if __name__ == "__main__":
# 读取原始图像并转为灰度
original = cv2.imread('img/lena.bmp', cv2.IMREAD_GRAYSCALE)
# 添加语义水印示例
raw_logo = cv2.imread('img/key_100.png', cv2.IMREAD_GRAYSCALE)
logo = watermark_padding(raw_logo, min(original.shape))
# 嵌入语义水印
watermarked_img, (U_w, S_orig, Vh_w) = svd_watermark_embed(original, logo)
# 提取水印
extracted_watermark = svd_watermark_extract(watermarked_img, U_w, Vh_w, S_orig)[:100, :100]
# 计算相关系数
correlation = np.corrcoef(raw_logo.flatten(), extracted_watermark.flatten())[0, 1]
# 可视化结果
plt.figure(figsize=(10, 5))
plt.subplot(2, 2, 1), plt.imshow(original, cmap='gray')
plt.title('Original Image'), plt.axis('off')
plt.subplot(2, 2, 2), plt.imshow(watermarked_img, cmap='gray')
plt.title('Watermarked Image'), plt.axis('off')
plt.subplot(2, 2, 3), plt.imshow(raw_logo, cmap='gray')
plt.title('Original Watermark'), plt.axis('off')
plt.subplot(2, 2, 4), plt.imshow(extracted_watermark, cmap='gray', vmin=-1, vmax=1)
plt.title(f'Extracted Watermark\nCorrelation: {correlation:.4f}'), plt.axis('off')
plt.tight_layout()
plt.show()
本博客所有文章除特别声明外,均采用 CC BY-NC-SA 4.0 许可协议。转载请注明来自 良月的小窝!
评论
ValineDisqus













